
41. Tran MLN, Raskar T, Toth ED, Zhang J, Ecker AK, Yeon SK, Tackie-Yarboi E, DeGrado WF, Fraser JS, Seiple IB Platform for the synthesis and evaluation of verrucarol-based ribosome inhibitors ChemRxiv Preprint 2025, doi: 10.26434/chemrxiv-2025-7n89p.

40. Yeon SK, Pellegrino J, Raskar T, Tran MLN, Dandan M, Guérin F, Einsiedler M, Cattoir V, Fraser JS, Seiple IB Hybrid antibiotics targeting the bacterial ribosome ACS Central Science 2025, 11, 2133-2142.

39. Madrigal Lombera JM, Feng X, Shu X, Seiple IB A convergent approach to resorcinolic macrolides to expand structural diversity Chem. Eur. J. 2025, e202501509.

38. Yang H, Zingaro VA, J, H, S, Oses-Prieto JA, Quinn Edmondson, Seiple IB, Shah H, Kajimura S, Burlingame AL, Grabe M, Ruggero D. Remodelling of the translatome controls diet and its impact on tumorigenesis Nature 2024, doi: https://doi.org/10.1038/s41586-024-07781-7.

37. Díaz RE, Ecker AK, Correy GJ, Asthana P, Young ID, Faust B, Thompson MC, Seiple IB, Van Dyken S, Locksley RM, Fraser JS. Structural characterization of ligand binding and pH-specific enzymatic activity of mouse Acidic Mammalian Chitinase eLife 2024, doi: https://doi.org/10.7554/eLife.89918.3.

36. Madrigal Lombera JM, Seiple IB. Efficient synthesis of (±)-de-O-methyllasiodiplodin Tetrahedron Lett. 2024, 147, 155184. Thomas Maimone Young Investigator Award Special Issue. See also the ChemRxiv preprint.

35. Tolani B, Celli A, Yao Y, Tan YZ, Fetter R, Liem CR, de Smith AJ, Vasanthakumar T, Bisignano P, Cotton AD, Seiple IB, Rubinstein JL, Jost M, Weissman JS. Ras-mutant cancers are sensitive to small molecule inhibition of V-type ATPases in mice Nature Biotechnol. 2022 in press: doi: 10.1038/s41587-022-01386-z.

34. Gramespacher JA, Cotton AD, Burroughs PWW, Seiple IB, Wells JA. Roadmap for Optimizing and Broadening Antibody-Based PROTACs for Degradation of Cell Surface Proteins ACS Chem. Biol. 2022, 17, 1259-1268.

33. Prasad NK, Seiple IB, Cirz RT, Rosenberg OS. Leaks in the pipeline: a failure analysis of Gram-negative antibiotic development from 2010-2020 Antimicrob. Agents Chemother. 2022, 65. ePub: https://doi.org/10.1128/aac.00054-22.

32. Cai L, Seiple IB, Li Q Modular Chemical Synthesis of Streptogramin and Lankacidin antibiotics Acc. Chem. Res. 2021, 54, 1891–1908.

31. Cotton AD, Wells JA, Seiple IB. Biotin as a reactive handle to selectively label proteins and DNA with small molecules ACS Chem. Bio. 2021, in press. See also the ChemRxiv preprint.

30. Cotton AD, Nguyen DP, Gramespacher JA, Seiple IB, Wells JA. Development of antibody-based PROTACs for the degradation of the cell-surface immune checkpoint protein PD-L1 J. Am. Chem. Soc. 2020, in press.

29. Li Q, Seiple IB. Modular synthesis of streptogramin antibiotics Synlett (Synpacts article), 2020, 31, A-H.

28. Li Q, Pellegrino J, Lee DJ, Tran AT, Chaires HA, Wang, Park JE, Ji K, Chow D, Zhang N, Brilot AF, Biel JT, van Zundert G, Borrelli K, Shinabarger D, Wolfe C, Murray B, Mülle E, Chesneau O, Jacobson MP, Fraser JS, Seiple IB. Synthetic group A streptogramin antibiotics that overcome Vat resistance Nature 2020, 586, 145-150.
Featured in Nature News & Views, UCSF News, and C&E News. Also see the ChemRxiv preprint.

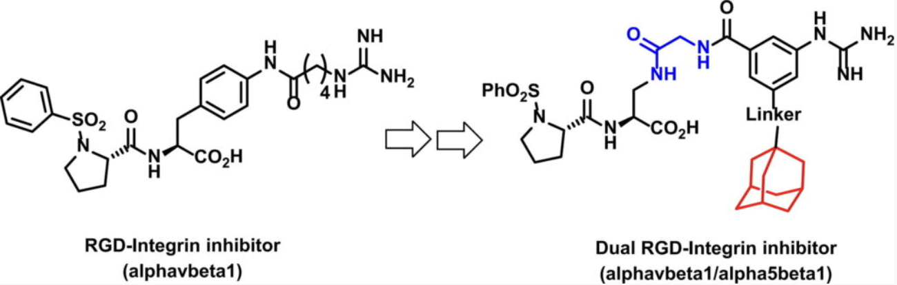
27. Sundaram A, Chen C, Reed NI, Liu S, Leod SK, McIntosh J, Tang Y-Z, Yang H, Adler M, Beresis R, Seiple IB, Sheppard D, DeGrado WF, Jo H. Dual antagonists of α5β1/αvβ1 integrin for airway hyperresponsiveness. Bioorg. Med. Chem. Lett. 2020, 30, 127578.

26. Boyce J, Dang B, Ary B, Edmondson Q, Craik C, DeGrado WF, Seiple IB. Platform to Discover Protease-Activated Antibiotics and Application to Siderophore-Antibiotic Conjugates J. Am. Chem. Soc. 2020, 142, 21310-21321.

25. Cotton AD, Seiple IB. Examining Gender Imbalance in Chemistry Authorship. ACS Chem. Bio. 2021, in press. See also the BioRXiv preprint.

24. Cai L, Yao Y, Yeon SK, Seiple IB Modular Approaches to Lankacidin Antibiotics. J. Am. Chem. Soc. 2020, 142, 15116-15126.

23. Liu J., Cai L., Sun W., Cheng R., Wang N., Jin L., Rozovsky S., Seiple I. B., Wang L.* Photocaged Quinone Methide Cross-linkers for Light-controlled Chemical Cross-linking of Protein-protein and Protein-DNA Complexes. Angew. Chem. Int. Ed Engl. 2019, 58, 18839–18843.

22. Shi, X.*; Li, Q.*; Dai, Z.; Tran, A.; Feng, S.; Ramirez, A. S.; Lin, Z.; Wang, X.; Chow, T. T.; Seiple, I. B.; Huang, B. Label-retention expansion microscopy (preprint on BioRXiv).

21. Li, Q.; Seiple, I. B. A concise route to virigniamycin M2 Tetrahedron 2019, 75, 3309–3318. Ryan Shenvi Young Investigator Award Special Issue

20. Yao, Y.*; Cai, L.*; Seiple, I. B. Synthesis, Structural Reassignment, and Antibacterial Evaluation of 2,18-Seco-Lankacidinol B Angew. Chem. Int. Ed. 2018, 57, 13551–13554.
See the feature in SynForm for the behind-the-scenes story!

19. Li, Q.; Seiple, I. B.; Modular, Scalable Synthesis of Group A Streptogramin Antibiotics J. Am. Chem. Soc. 2017, 139, 13304–13307.

18. Seiple, I. B.*; Zhang, Z.*; Jakubec, P.; Langlois-Mercier, A.; Wright, P. M.; Hog, D. T.; Yabu, K.; Allu, S. R.; Fukuzaki, T.; Carlsen, P. N.; Kitamura, Y.; Zhou, X.; Condakes, M. L.; Szczypinski, F. T.; Green, W. D.; Myers, A. G. A Platform for the Discovery of New Macrolide Antibiotics Nature 2016, 533, 338.
See also: News and Views.

17. Seiple, I. B.; Hog, D. T.; Myers, A. G. Practical Protocols for the Preparation of Highly Enantioenriched Silyl Ethers of (R)-3-Hydroxybutan-2-one, Building Blocks for the Synthesis of Macrolide Antibiotics Synlett 2015, 27, 57–60.
Patents (provisional patents excluded)
Myers, A. G.; Seiple, I. B.; Zhang, Z. Macrolides and Methods of their Preparation and Use PCT/US2014/033025.
Myers, A. G.; Seiple, I. B.; Zhang, Z. Macrolides with Modified Desosamine Sugars and Uses Thereof. PCT/US2016/024333.
Myers, A. G.; Seiple, I. B., Zhang, Z. 14-Membered Ketolides and Methods of their Preparation and Use PCT/US2015/054700.
Myers, A. G.; Seiple, I. B.; Sussman, R. J. R. Monobactams and Methods of their Synthesis and Use PCT/US2015/10247.